redis and cache
Redis 系列(二): 连集合底层实现原理都不知道,你敢说 Redis 用的很溜?
Redis进阶 - 高可用:哨兵机制(Redis Sentinel)详解
high performace
- 多线程?
- 提高数据处理速度: read,decode,write,
- 折中的master-worker,总体看还是单线程

mechanism
basic structure
dbList: bList:[redisDB1,redisDB2,…]
store form:
- value dict: dict[stringRedisobj] = some redisObj
- expire dict: dict[strinngRedisObj] = expire time
reids object: econding: underlying implement
|
|
high performace
why have high performace:
- 多路复用(select or epoll: 高效处理tcp连接;
- High performace DataStruct;
- in-memory store ;
- single thread:no locker cost
mutiple thread
why single thread: not cpu-bound, i/o bound and memory bound
but why use mutiple thread now: improve i/o, simple version of multi reactor; child thread work: read/write socket ;
zipList
- what? 动态数组
- feauture:
- 元素大小可变,节省空间;
|
|
| 域 | 长度/类型 | 域的值 |
|---|---|---|
| zlbytes | uint32_t | 整个 ziplist 占用的内存字节数,对 ziplist 进行内存重分配,或者计算末端时使用。 |
| zltail | uint32_t | 到达 ziplist 表尾节点的偏移量。 通过这个偏移量,可以在不遍历整个 ziplist 的前提下,弹出表尾节点。 |
| zllen | uint16_t | ziplist 中节点的数量。 当这个值小于 UINT16_MAX (65535)时,这个值就是 ziplist 中节点的数量; 当这个值等于 UINT16_MAX 时,节点的数量需要遍历整个 ziplist 才能计算得出。 |
| entryX | ? | ziplist 所保存的节点,各个节点的长度根据内容而定。 |
| zlend | uint8_t | 255 的二进制值 1111 1111 (UINT8_MAX) ,用于标记 ziplist 的末端。 |
quickList

vs linker: reduce alloc time vs array: reduce moving cost
skipList

what: order linker list with mutiple next pointer
simple code:
|
|
|
|
- vs avl tree;
- 范围查找更方便
- 更简单: 不需要为了平衡而进行旋转操作
Data Types

string
sds,simple dymanic sting:
|
|
sds feature:
- 二进制安全: c会被\0截断; 而 sds通过len能获取完整长度;
- 高效append: 通过预先分配free空间;减少ReAlloc次数;
sds code:
|
|
list
how: quickList
use case: store data sorted by added time
|
|
hash
structure :
reidsKey field1 value1, field2 value2 ....
use case:
- record some item info
|
|
- increase field count
|
|
implement:
- zipList
- hash
set
use case:
- remove duplicated things
|
|
how it work:
- hash
- 整数集合
zset
what: sort set also act as a simple table:
|
|
use case:
- rank
select from rank order by score asc limit 3 offset 3update set score=score+n where id=xxx
|
|
- count number in score range
if score=timestamp, slide window
select count(*) from table where score>=a and score<=b
|
|
how it:
- zipList
- skipList
cache problem
what:
- cache not work
- big pressure on db
types:
- all: cache avalanche
- partly: 1. 击穿(hotspot invalid): hot keys(one or some) invalid; 2. 渗透(cache penetration): same keys always query from db,
how:
- cache avalanche:
- before: high availablity: master-slave or clusrter architectue
- in progress: 降级,限流
- hotspot invalid:
- expired time:
- don’t have expired time: configure data;
- set different expired time;
- add Locker when access hot key;
- expired time:
- cache penetration:
- valid data;
- bitMap or blomfilter to cache existing data;
cache consistency
what: cache data and mysql data not consitent
optianl solution:
- update cache, then update db: 🚫 if update db fail, must retry
- update db, then update cache: 🚫
|
|
best solutiion: update mysql, then delete cache
why: update db then update cache: will be overwrte by older process
|
|
write behind;
cache strategy;
-
cache aside(lazy loading): read: client-> cache->db; update: client->db, client->cache[delete];
-
read/write through: 由代理管理数据库和cache; client -> proxy->{cache,db}
-
write behind caching;
client -> cache; then after a time: cache -> write db;strategy:
- interval: after x sconds;
- lazy: after updating;
problem: 一致性降低; 策略:
- 提高cache 稳定性;
- 只从cache读取;
bigData
-
基于位的存储
- bitmap
- blomfilter:
-
基于概率的存储
- hyperloglog
bitMap((bitArray)
-
what? array of bit
- int value = array index;
- bitarray[arrayIndex]=1
-
feature?
- 适合存储分布均匀的整数;
- 能还原实际值;
-
use case?
- userID is autoIncrement
roaring bitmap
- what? bitmap 改进版,在存储少量数据的时候节省空间
- how? 空间进行分割: [1]:int16 arrary or bitArray [.]: [.] [2^16]
bloomfilter
-
what? bitmap(array)的应用
- index = hashCode%bitLength
- store multiple index;
-
how? value1-> hashValue1%bitarrayLength=bitArrayIndex1; value1->hashValue2%bitarrayLength=bitArrayIndex2; if bitArray[bitArrayIndex1]=true && bitArray[bitArrayIndex2]=true; data exist

-
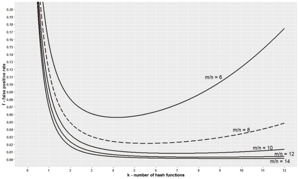
占用空间?2^32数字占用空间

when k=4; m/n(totalBit/totalEle)= 10~20 false positive: 0.01 ~0.001
-
use case
hyperloglog
persistance data
types
aof:append only file; command list
rdb: redis database; snapshot of memory
recover: if aof enable, load aof file frstly
aof
config:
|
|
appendfsync: when flush to disk
- everysec
- always: every write command
- no: controls by os;
how:
|
|

pros: less data loss; cons: big file and more recover tim
rewrite aof
what: merge the commands;
config:
|
|
how:
|
|

![[Pasted image 20221115052856.png]]
RDB
config:
|
|
in 60s, 900 keys have changed
how:
|
|

pros:
- compact and less recover time cons:
- more data loss
eviction and expire
eviction: evict data when memory reach the max memory
|
|
eviction types:
- noeviction: default
- volatile data
- volatile-random:
- volatile-ttl
- volatile-lru
- volatile-lfu
- all keys
- allkeys-random
- allkey-lru
- allkey-lfu
expires: remove expired keys
how: lazy-expire and auto
|
|
replica
replication: 手动故障转移
|
|
sentinel: automic failover
|
|

how:
- send heartbeat to check health
- heartbeat fail:
- client send sentinel is-master-down-by-addr: get vote > quorum, 客观下线
- client send sentinel is-master-down-by-addr: get vote > quorum, 成为leader
- leader do failover


